Übersicht
Kurse
FIT FÜR DEN LEHRABSCHLUSS IN LABORTECHNIK
Anmelden
FIT FÜR DEN LEHRABSCHLUSS IN LABORTECHNIK
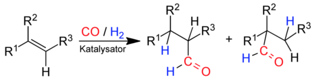
Die organische Chemie Modul 41: Aldehyde
Die organische Chemie Modul 41: Aldehyde
Lektionen
KOMPETENZEN
00:00:28
Grundlagen
ENTSTEHUNG
00:03:06
EIGENSCHAFTEN UND NACHWEISREAKTIONEN
00:01:41
Wichtige Aldehyde
00:01:04
Test
PRÜFUNG MODUL
31 Fragen
tmtraining